» » X122x1x133x1 56

X122x1x133x1 56

ads/responsive.txt

ads/responsive.txt
Multiplication X 1 1 X 1 1 2 X 1 2 3 X 1 3 4 X 1 4 5 X 1 5

Multiplication X 1 1 X 1 1 2 X 1 2 3 X 1 3 4 X 1 4 5 X 1 5

Example 18 Solve 5 X 1 1 Y 2 2 6 X 1 3 Y 2 1 Examples

Example 18 Solve 5 X 1 1 Y 2 2 6 X 1 3 Y 2 1 Examples

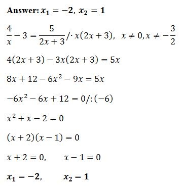
Rozwiaz Rownania X 3 1 5 6 X 2 2x 3 4 1 2 X X 2 9 X 1 3 1

Rozwiaz Rownania X 3 1 5 6 X 2 2x 3 4 1 2 X X 2 9 X 1 3 1

Multiplication X 1 1 X 1 1 2 X 1 2 3 X 1 3 4 X 1 4 5 X 1 5

Multiplication X 1 1 X 1 1 2 X 1 2 3 X 1 3 4 X 1 4 5 X 1 5

Ex 3 6 1 I And Ii Solve 1 2x 1 3y 2 1 3x 1 2y

Ex 3 6 1 I And Ii Solve 1 2x 1 3y 2 1 3x 1 2y

Rozwiaz Rownania Youtube

Rozwiaz Rownania Youtube

Solve The Linear Equation 1 2 X 1 1 3 X 1 5 12 X 2 Brainly In

Solve The Linear Equation 1 2 X 1 1 3 X 1 5 12 X 2 Brainly In

Ecuaciones 1 Grado

Ecuaciones 1 Grado

How Can One Solve The Following By Using The Method Of Factorization

How Can One Solve The Following By Using The Method Of Factorization

Free Math Answers Answers Within 24 Hours Step By Step Explanations

Free Math Answers Answers Within 24 Hours Step By Step Explanations

Example 2 Find A Negative Slope Find The Slope Of The Line Shown M

Example 2 Find A Negative Slope Find The Slope Of The Line Shown M

Chapter 1

Chapter 1

Simplifying Rational Expressions Grouping Video Khan Academy

Simplifying Rational Expressions Grouping Video Khan Academy

Multiplying 2 Fractions 5 6 X 2 3 Video Khan Academy

Multiplying 2 Fractions 5 6 X 2 3 Video Khan Academy

Vectors And The Geometry Of Space Monografias Com

Vectors And The Geometry Of Space Monografias Com

Find The Distance Of A Point 1 2 3 From The Plane X Y Z 5 Measured

Find The Distance Of A Point 1 2 3 From The Plane X Y Z 5 Measured

Finding Linear Equations

Finding Linear Equations

Chapter 1

Chapter 1

Integral Of 1 1 X 2 3 2 Substitution Youtube

Integral Of 1 1 X 2 3 2 Substitution Youtube

Misc 14 Solve Tan 1 1 X 1 X 1 2 Tan 1 X Ncert

Misc 14 Solve Tan 1 1 X 1 X 1 2 Tan 1 X Ncert

What Is The Sum Of The Series Math 1 1 2 1 3 1 4 1 5

What Is The Sum Of The Series Math 1 1 2 1 3 1 4 1 5

Solved 5 Draw The Diagram Of The Poset P X P Where X

Solved 5 Draw The Diagram Of The Poset P X P Where X

Equations Of Linear Relationships Ppt Video Online Download

Equations Of Linear Relationships Ppt Video Online Download

Ex 3 6 1 I And Ii Solve 1 2x 1 3y 2 1 3x 1 2y

Ex 3 6 1 I And Ii Solve 1 2x 1 3y 2 1 3x 1 2y

Only 1 In 1000 Can Solve The Viral 1 4 5 Puzzle The Correct

Only 1 In 1000 Can Solve The Viral 1 4 5 Puzzle The Correct

Example 18 Solve 5 X 1 1 Y 2 2 6 X 1 3 Y 2 1 Examples

Example 18 Solve 5 X 1 1 Y 2 2 6 X 1 3 Y 2 1 Examples

Converting From Slope Intercept To Standard Form Algebra Video

Converting From Slope Intercept To Standard Form Algebra Video

6 1 X 0 2 2 The Correct Answer Explained Youtube

6 1 X 0 2 2 The Correct Answer Explained Youtube

Chapter 1 Algebra Toolbox Ppt Video Online Download

Chapter 1 Algebra Toolbox Ppt Video Online Download

This Simple Maths Problem Has Thousands Of People Baffled Can You

This Simple Maths Problem Has Thousands Of People Baffled Can You

Maths Study Material Three Dimentional Geometry Line Geometry

Maths Study Material Three Dimentional Geometry Line Geometry

Expresiones Algebraicas Y Ecuaciones Lineales Monografias Com

Expresiones Algebraicas Y Ecuaciones Lineales Monografias Com

View Question P 2 5 5 1 5 6 0

View Question P 2 5 5 1 5 6 0

Adding And Subtracting Fractions Ppt Video Online Download

Adding And Subtracting Fractions Ppt Video Online Download

Solving Square Root Equations One Solution Video Khan Academy

Solving Square Root Equations One Solution Video Khan Academy

What Is 6 2 1 2 The Correct Answer Explained Mind Your Decisions

What Is 6 2 1 2 The Correct Answer Explained Mind Your Decisions

Ncert Book For Class 12 Maths Chapter 7 Integrals

Ncert Book For Class 12 Maths Chapter 7 Integrals

1 2 3 4 Wikipedia

1 2 3 4 Wikipedia

Wolfram Alpha Examples Step By Step Solutions

Wolfram Alpha Examples Step By Step Solutions

How To Multiply Fractions How To Divide Fractions A Complete

How To Multiply Fractions How To Divide Fractions A Complete

Multiplying Mixed Numbers Video Khan Academy

Multiplying Mixed Numbers Video Khan Academy

1 2 3 4 Wikipedia

1 2 3 4 Wikipedia

Surprising Patterns In The Square Numbers 1 4 9 16

Surprising Patterns In The Square Numbers 1 4 9 16

Finding Linear Equations

Finding Linear Equations

5 Ways To Do Fractions Wikihow

5 Ways To Do Fractions Wikihow

Solved U 1 3 U 1 6 V 1 6 V 1 2 D Dx U

Solved U 1 3 U 1 6 V 1 6 V 1 2 D Dx U

L2

L2

Ecuaciones 1 Grado

Ecuaciones 1 Grado

Edexcel Igcse Further Pure Maths Answers

Edexcel Igcse Further Pure Maths Answers

How Can One Solve The Following By Using The Method Of Factorization

How Can One Solve The Following By Using The Method Of Factorization