Home » Integral Of Sinxx From 0 To Pi » Integral Of Sinxx From 0 To Pi
Integral Of Sinxx From 0 To Pi
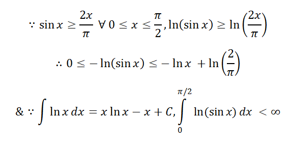
Answers for integrals derivatives limits sequences sums products series expansions vector analysis integral.

Integral of sinxx from 0 to pi. Integrals calculator for calculus. Compute indefinite and definite integrals multiple integrals numerical integration integral representations and integrals. The problem statement all variables and givenknown data im reviewing my fourier transforms useful in quantum mechanics in this case 1 dimensional. Calculus and analysis calculators and examples.



































