Home » Integral Of 11x2 » Integral Of 11x2
Integral Of 11x2
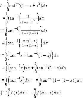
Xmexp1 2 ax2dx 3 wheremissomepositiveinteger.

Integral of 11x2. In mathematics an integral assigns numbers to functions in a way that can describe displacement area volume and other concepts that arise by combining. The path integral formulation of quantum mechanics is a description of quantum theory that generalizes the action principle of classical mechanics. Free online integral calculator allows you to solve definite and indefinite integration problems. Answers graphs alternate forms.
Arccos x 2 arcsin x 1 x 1 arccsc x 2 arcsec x x 1 arccot x 2 arctan x for all x. La integracion es un concepto fundamental del calculo y del analisis matematico. Basicamente una integral es una generalizacion de la suma de infinitos.






































